Lompat ke konten Lompat ke sidebar Lompat ke footer

Whats 40 Of 80

What Is 40 Of 80 Youtube

What Is 40 Of 80 Youtube

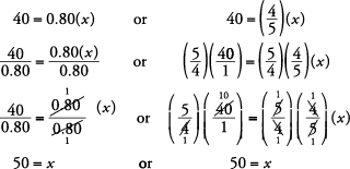
Whats 40 of 80. 26 rows 40 of Result. Multiplying both sides by 100 and dividing both sides by 80 we have x 40 100 80. 40 of 342 13680.

1 805100 2 x40 where left sides of both of them have the same units and both right sides have the same units so we can do something like that. Steps to solve 40 is 80 percent of what number We have 80 x 40. 40 of 472 18880.

80 of 520000 416000. Steps to solve what percent is 40 of 80 40 of 80 can be written as. You can use a calculator to find what percent of 80 is 40 just enter 40 80 100 and you will get your answer which is 50.

80 of 760000 608000. Note that to find the amount saved just multiply it by the percentage and divide by 100. 40 100 80 1 100 50 100 Therefore the answer is 50 If you are using a.

Multiplying both sides by 100 and dividing both sides by 40 we have x 80 100 40. Calculate a percentage based on 2 numbers. Solution for what is 40 of 805 805x10040.

What is 40 percent of 80. 80 kids like Thomas the Train. An item that costs 88 when discounted 40 percent will cost 528.

32 How to calculate 40 of 80. 40 of 216 8640.

What Is 40 Out Of 80 As A Percentage

What Is 40 Out Of 80 As A Percentage

Question What Number Is 40 Of 80 Seniorcare2share

Question What Number Is 40 Of 80 Seniorcare2share

Percent Of A Number Copyright C Ed2netlearning Inc Ppt Download

Percent Of A Number Copyright C Ed2netlearning Inc Ppt Download

Question What Number Is 40 Of 80 Seniorcare2share

Question What Number Is 40 Of 80 Seniorcare2share

Ratio Of 40 To 80 40 80

Ratio Of 40 To 80 40 80

40 Percent Of 80 40 Of 80

40 Percent Of 80 40 Of 80

Express In Ratio As Percentages 40 80 Brainly In

Express In Ratio As Percentages 40 80 Brainly In

5 Minute Check Find The Following 1 What Is 15 Written As A Percent 2 What Is Written As A Percent 3 What Is 7 Written As A Percent 4 What Ppt Download

5 Minute Check Find The Following 1 What Is 15 Written As A Percent 2 What Is Written As A Percent 3 What Is 7 Written As A Percent 4 What Ppt Download

Find The Percent Of Each Number Of Of Of Of 18 11 Percent Today S Plan Percent Lesson Ppt Download

Find The Percent Of Each Number Of Of Of Of 18 11 Percent Today S Plan Percent Lesson Ppt Download

Multiples Of 40 What Are The Multiples Of 40 Solved

Multiples Of 40 What Are The Multiples Of 40 Solved

What Is 80 Percent Of 40 In Depth Explanation The Next Gen Business

What Is 80 Percent Of 40 In Depth Explanation The Next Gen Business

Hcf Of 40 And 80 How To Find Hcf Of 40 80

Hcf Of 40 And 80 How To Find Hcf Of 40 80

40 80 Simplified In Lowest Terms Getcalc Com

40 80 Simplified In Lowest Terms Getcalc Com

Solved The Graph Of A Function F Is Shown Y 800 400 0 X 20 Chegg Com

Solved The Graph Of A Function F Is Shown Y 800 400 0 X 20 Chegg Com

25 Of 80 Youtube

25 Of 80 Youtube

Percent Word Problem 100 Is What Percent Of 80 Video Khan Academy

Percent Word Problem 100 Is What Percent Of 80 Video Khan Academy

An Integer Is Chosen At Random Between 1 And 100 Find The Probability That It Is Not Divisible By 8

An Integer Is Chosen At Random Between 1 And 100 Find The Probability That It Is Not Divisible By 8

What Is Mean Of 10 20 30 40 50 90 And 100

What Is Mean Of 10 20 30 40 50 90 And 100

Compare Schedule 40 Schedule 80 Pipe And Fittings

Compare Schedule 40 Schedule 80 Pipe And Fittings

Schedule 40 Schedule 80 Or Cpvc What Should I Use Drainage Connect Blog Drainage Connect

Schedule 40 Schedule 80 Or Cpvc What Should I Use Drainage Connect Blog Drainage Connect

Schedule 80 Pvc Or Schedule 40 Pvc Pipes What To Choose When

Schedule 80 Pvc Or Schedule 40 Pvc Pipes What To Choose When

Buy The Right Pvc Pipe Schedule 40 Vs Schedule 80

Buy The Right Pvc Pipe Schedule 40 Vs Schedule 80

In A Test Containing Of 80 Questions Carrying One Mark Each Arpita

In A Test Containing Of 80 Questions Carrying One Mark Each Arpita

1

1

Almofada Divertida Latao Coca Gingante 40 80 Seu Nome Na Lata Personalize Almofadageek

Almofada Divertida Latao Coca Gingante 40 80 Seu Nome Na Lata Personalize Almofadageek

Solved Part F Reading A Graph 1 What Is The Solubility Of Chegg Com

Solved Part F Reading A Graph 1 What Is The Solubility Of Chegg Com

Ques 40 Mcq What Is The Solution Of The Pair Of Linear Equations

Ques 40 Mcq What Is The Solution Of The Pair Of Linear Equations

Factors Of 80 Find Prime Factorization Factors Of 80

Factors Of 80 Find Prime Factorization Factors Of 80

What Is The Mean Of 20 40 80 100 And 90 Brainly In

What Is The Mean Of 20 40 80 100 And 90 Brainly In

What Is The Average Speed Of A Cheetah That Sprints 100 M In 4sec What If It Sprints 50 M In 2sec

What Is The Average Speed Of A Cheetah That Sprints 100 M In 4sec What If It Sprints 50 M In 2sec

40 80 4 In Decimal Form What Is 40 80 4 As A Decimal

40 80 4 In Decimal Form What Is 40 80 4 As A Decimal

Warm Up Solve Of What Number Is 6 2 What Percent Of 20 Is 8 3 What Is 80 Of 60 Is What Percent Of 200 60 40 48 Course Percent Ppt Download

Warm Up Solve Of What Number Is 6 2 What Percent Of 20 Is 8 3 What Is 80 Of 60 Is What Percent Of 200 60 40 48 Course Percent Ppt Download

Convite Boteco 30 40 50 60 70 80 Anos Imprimir Whats Digital No Elo7 Zap Convites Fcd8f3

Convite Boteco 30 40 50 60 70 80 Anos Imprimir Whats Digital No Elo7 Zap Convites Fcd8f3

Vara Carretilha Evolution Gt2 C661xh 1 98m 40 80 Lb Pesca Pesada Em Promocao Ofertas Na Americanas

Vara Carretilha Evolution Gt2 C661xh 1 98m 40 80 Lb Pesca Pesada Em Promocao Ofertas Na Americanas

Find Hcf By Prime Factorization Method In Urdu Hcf Of 20 40 And 80 Youtube

Find Hcf By Prime Factorization Method In Urdu Hcf Of 20 40 And 80 Youtube

Question What Number Is 40 Of 80 Seniorcare2share

Question What Number Is 40 Of 80 Seniorcare2share

Regioes De Ribeirao Preto Franca E Barretos Podem Ter Tempestade No Final De Semana Diz Defesa Civil Ribeirao Preto E Franca G1

Regioes De Ribeirao Preto Franca E Barretos Podem Ter Tempestade No Final De Semana Diz Defesa Civil Ribeirao Preto E Franca G1

Manometer Analysis Sketch What Is The Pressure Of The Air In The Tank If L1 40 Cm L2 100 Cm And L3 80 Cm Problem Definition Situation A Tank

Manometer Analysis Sketch What Is The Pressure Of The Air In The Tank If L1 40 Cm L2 100 Cm And L3 80 Cm Problem Definition Situation A Tank

Convite Boteco 30 40 50 60 70 80 Anos Imprimir Whats Digital No Elo7 Zap Convites Fcd8f3

Convite Boteco 30 40 50 60 70 80 Anos Imprimir Whats Digital No Elo7 Zap Convites Fcd8f3

Kit Com 3 Capas De Almofada Athena Dupla Face 45x45 Manta 1 40 X 1

Kit Com 3 Capas De Almofada Athena Dupla Face 45x45 Manta 1 40 X 1

Isolation Of Tomato Chloroplasts On Percoll Gradients A Minimal Download Scientific Diagram

Isolation Of Tomato Chloroplasts On Percoll Gradients A Minimal Download Scientific Diagram

Calculate Air Pressure In The Tank If L 1 40 C M L 2 100 C M L 3 80 C M Study Com

Calculate Air Pressure In The Tank If L 1 40 C M L 2 100 C M L 3 80 C M Study Com

What Are 40 Schedule And 80 Schedule In The Oil And Gas Pipeline Quora

What Are 40 Schedule And 80 Schedule In The Oil And Gas Pipeline Quora

40 80 120 144w Led Solar Para Iluminacao Publica De Parede Luzes De Jardim Iluminacao Externa A Prova D Agua Com Sensor Remoto Crepusculo Ao Amanhecer Pir Em Promocao Ofertas Na Americanas

40 80 120 144w Led Solar Para Iluminacao Publica De Parede Luzes De Jardim Iluminacao Externa A Prova D Agua Com Sensor Remoto Crepusculo Ao Amanhecer Pir Em Promocao Ofertas Na Americanas

40 80 Ton Low Bed Trailer China Fudeng Truck Trailer Supplier Co Ltd

40 80 Ton Low Bed Trailer China Fudeng Truck Trailer Supplier Co Ltd

Has Anyone Tried The 40 80 Charging Rule What Are Your Findings Did It Really Help Persevering The Maximum Capacity Of Your Iphone I Got My Iphone 12 This January 2020 And Its

Has Anyone Tried The 40 80 Charging Rule What Are Your Findings Did It Really Help Persevering The Maximum Capacity Of Your Iphone I Got My Iphone 12 This January 2020 And Its

Schedule 40 Schedule 80 Or Cpvc What Should I Use Drainage Connect Blog Drainage Connect

Schedule 40 Schedule 80 Or Cpvc What Should I Use Drainage Connect Blog Drainage Connect

Applications Of Percents

Applications Of Percents

1

1

Solution for what is 80 of 40 40x10080.

Furthermore How do you get 30 of 80 Percent means per. 40 100 80 1 100 50 100 Therefore the answer is 50 If you are using a. 80 of 270000 216000. 80 of 260000 208000. If you are using a calculator simply enter 8010040 which will give you the answer. 40 percent 80 40 100 80 40 80 100 3200 100 32. 40 of 213 8520. 40 of 345 13800. Find the common factors of 80 and 40.


Using the Percentage Calculator We need to input 80 in the first field and 200 in the second field. 40 of 84 3360. What is 40 of 80 Answer. 1 40100 2 x80 where left sides of both of them have the same units and both right sides have the same units so we can do something like that. Another step by step method. Find the common factors of 80 and 40. 40 of 80 32.

Posting Komentar untuk "Whats 40 Of 80"